하기전에..
이제 2주간 하는건 object detection
수업내용
고전적인 방법들.



초기에는 물체의 위치를 RoI로 찾고, 그 그림 위치에 대한 Classification을 진행한 2 stages가 있었고 나중엔 1 stages로 모두 한번에 끝내는 방법이 개발됨.
2 stages

Fast RCNN. 그냥 한번에 CNN에 다 넣고 RoI 구해서 그 부분에 대한 classification을 한다고 함.

Faster RCNN은 anchor box 이용.

그래서 loss 보면 각 box에 물체가 들어있냐 마느냐도 들어있음. 중복되는 영역은 NMS를 이용해 제거함.
1 stages


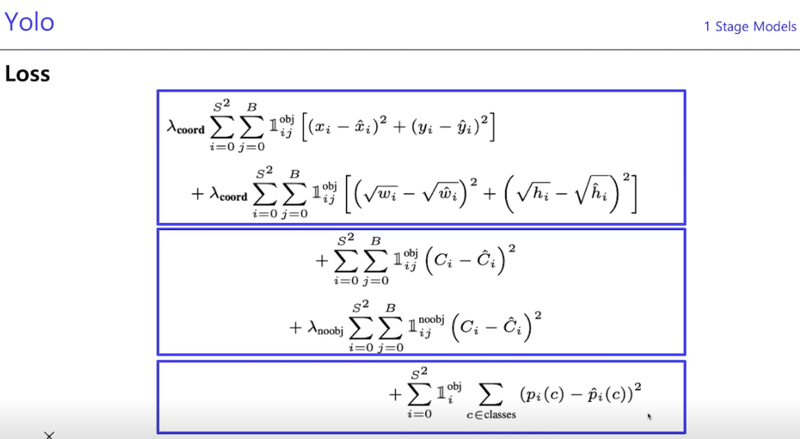
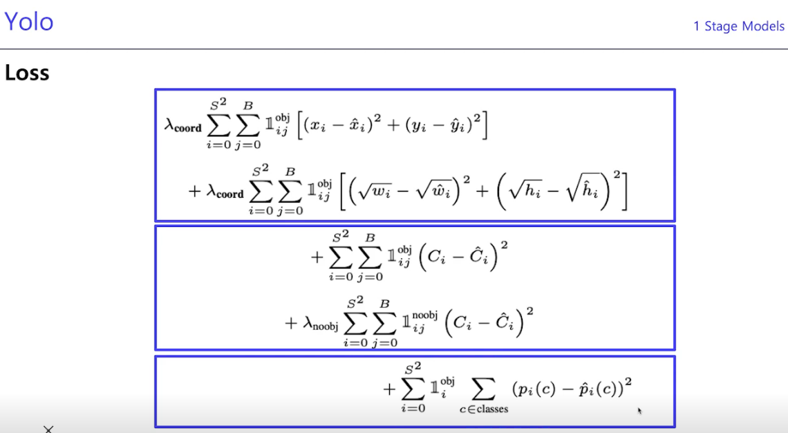
Yolo는 각각의 grid에 대한 결과를 하나의 열로 정리해서 모두 한번에 해결하는 거인듯.

위치, object가 들어있을지, object는 어떤 class인지

자세하게 알고싶으면 SSD, Yolo v2 논문 보고 밑에 주소를 참고.
1) Hoya012, https://hoya012.github.io/
2) 갈아먹는 Object Detection, https://yeomko.tistory.com/13
3) Deepsystems, https://deepsystems.ai/reviews
실습에선 MMdetection이라는 매우 좋은 library가 있는데 from mmcv import Config, Config.fromfile을 통해 config를 쉽게 할 수 있도록 만들었다. 모델 개조한거, loss 만든것 등을 넣어줄 수 있음.
마스터세션
Virtual IEEE VIS 2020 -- Conference on Visualization.
human computer interaction 및 시각화 강의 1강 ppt 뒤에
'과거의 것들 > AI Tech boostcamp' 카테고리의 다른 글
| P-stage3 [day3] (0) | 2021.12.01 |
|---|---|
| P-stage3 [day2] (0) | 2021.12.01 |
| P-stage3 img seg 마지막 정리 (0) | 2021.12.01 |
| P-stage3 [Day9] 앙상블 끌어모으기 (0) | 2021.12.01 |
| P-stage3 [Day7] (0) | 2021.12.01 |